Перейти к содержимому

Արփինե Խաչատրյանի բլոգ

Մխիթար Սեբաստացի կրթահամալիր 9 — րդ դասարանի մասնագիտական կողմնորոշման ծրագիր 9 — 4 դասարան

Рубрика: Հանրահաշիվ 9

Рубрика: Հանրահաշիվ 9

21. Թվային հաջորդականության գաղափարը

Опубликовано 20 февраля, 20228 мая, 2022 автором arpinekhachatryan

Рубрика: Հանրահաշիվ 9

20. Տեքստային խնդիրների լուծում

Опубликовано 12 февраля, 20228 мая, 2022 автором arpinekhachatryan

Рубрика: Հանրահաշիվ 9

19. Առաջին և երկրորդ աստիճանի հավասարումների համակարգեր

Опубликовано 6 февраля, 20228 мая, 2022 автором arpinekhachatryan

Рубрика: Հանրահաշիվ 9

18.Հավասարումների համակարգի գաղափարը

Опубликовано 6 февраля, 20228 мая, 2022 автором arpinekhachatryan

Рубрика: Հանրահաշիվ 9

Խնդիրներ կրկնության համար

Опубликовано 26 декабря, 20218 мая, 2022 автором arpinekhachatryan
Рубрика: Հանրահաշիվ 9

16. Բեզուի թեորեմը

Опубликовано 18 декабря, 20217 мая, 2022 автором arpinekhachatryan

Рубрика: Հանրահաշիվ 9

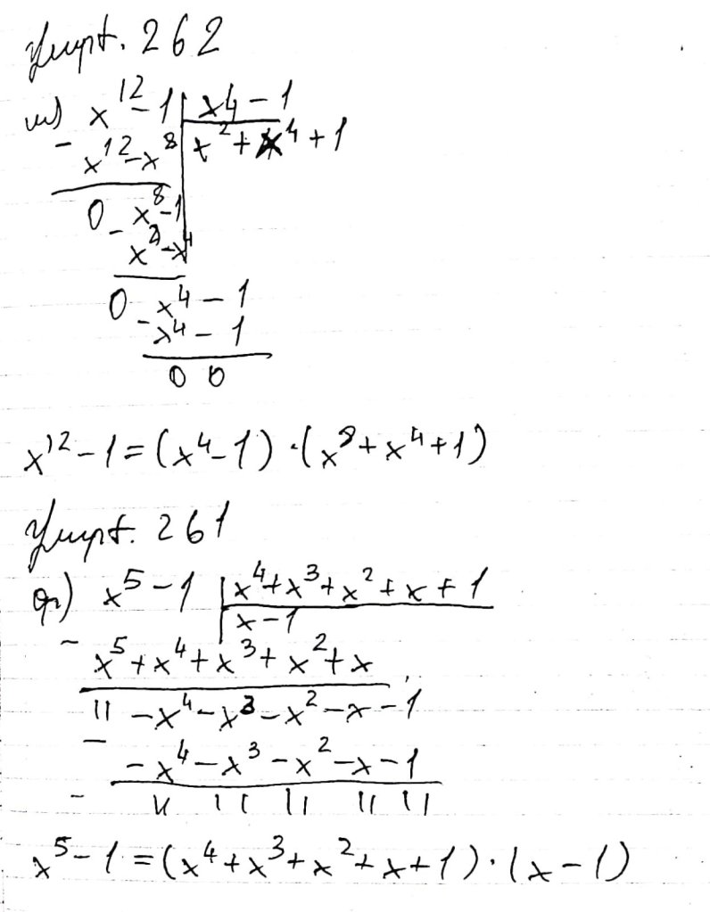
15. Գործողություններ մեկ փոփոխականով բազմանդամների հետ

Опубликовано 12 декабря, 20217 мая, 2022 автором arpinekhachatryan

14. Տեքստային խնդիրների լուծում

Изображение• Опубликовано 4 декабря, 20217 мая, 2022 автором arpinekhachatryan
Рубрика: Հանրահաշիվ 9

13. Ռացիոնալ հավասարումների լուծումը

Опубликовано 30 ноября, 20217 мая, 2022 автором arpinekhachatryan

Рубрика: Հանրահաշիվ 9

12.Հավասարում, որի մի կողմը հանրահաշվական կոտորակ է, իսկ մյուսը՝ 0

Опубликовано 24 ноября, 20217 мая, 2022 автором arpinekhachatryan

Навигация по записям

Предыдущие записи
Следующие записи

Որոնում

Իմ մասին

Բարի գալուստ Արփինե Խաչատրյանի բլոգ:)
Հաճախում եմ դաշնամուրի դասընթացների, զբաղվում եմ ասեղնագործությամբ:

Բաժիններ

  • Русский язык 2020 — 2021
  • Русский язык 9
  • English 2020 — 2021
  • English 9
  • Français
  • Հայոց Լեզու 2020 — 2021
  • Հայոց Լեզու 9
  • Հանրահաշիվ
  • Հանրահաշիվ 9
  • Հասարակագիտություն
  • Ձմեռային ճամբար
  • Մաթեմատիկա առանց բանաձևի
  • Մասնագիտության կողմնորոշման նախագիծ
  • Պատմություն 2020 — 2021
  • Պատմություն 9
  • Տիեզերագիտական ճամբար — Space Camp Turkey
  • Քիմիա
  • Քիմիա 9
  • Ֆիզիկա 9
  • Ֆիզիկա. Տատը և դասարանում
  • Ֆիզիկա. Լաբարատոր Աշխատանք
  • Ամփոփում Պատմ․
  • Աշխարհագրություն
  • Աշխարհագրություն 9
  • Առողջագիտություն
  • Առցանց դասեր
  • Գրականություն 2020 — 2021
  • Գրականություն 9
  • Երկրաչափություն
  • Երկրաչափություն 9
  • Թարգմանություն
  • Իմ առաջարկած խնդիրները
  • Իմ առաջարկաց խնդիրները
  • Իրավունք
  • Կենսաբանություն 2020 — 2021
  • Կենսաբանություն 9
  • Uncategorized
  • Why I want to go to Space Camp

Արխիվ

  • Май 2022
  • Апрель 2022
  • Март 2022
  • Февраль 2022
  • Январь 2022
  • Декабрь 2021
  • Ноябрь 2021
  • Октябрь 2021
  • Сентябрь 2021
  • Август 2021
  • Июнь 2021
  • Май 2021
  • Апрель 2021
  • Март 2021
  • Февраль 2021
  • Январь 2021
  • Декабрь 2020
  • Ноябрь 2020
  • Октябрь 2020
  • Сентябрь 2020
  • Июнь 2020
  • Май 2020
  • Апрель 2020
  • Март 2020
  • Февраль 2020
  • Январь 2020
  • Декабрь 2019
  • Ноябрь 2019
  • Октябрь 2019
  • Сентябрь 2019
  • Август 2019
  • Июнь 2019
  • Май 2019
  • Апрель 2019
  • Март 2019
  • Февраль 2019
  • Январь 2019
  • Декабрь 2018
  • Ноябрь 2018
  • Октябрь 2018
Апрель 2026
Пн Вт Ср Чт Пт Сб Вс
 12345
6789101112
13141516171819
20212223242526
27282930  
« Май    

Հղումներ

  • Կրթահամալիրի կայք
  • 9-րդ դասարանի կայք
  • Դասավանդողների բլոգներ
  • Իմ ընկերների բլոգները
  • Դասացուցակ

Статистика блога

  • 25 300 просмотров
Создайте бесплатный сайт или блог на WordPress.com. Тема: Scratchpad, автор: Automattic.
Политика конфиденциальности и использования файлов сookie: Этот сайт использует файлы cookie. Продолжая пользоваться сайтом, вы соглашаетесь с их использованием.
Дополнительную информацию, в том числе об управлении файлами cookie, можно найти здесь: Политика использования файлов cookie
  • Подписаться Подписано
    • Արփինե Խաչատրյանի բլոգ
    • Уже есть учётная запись WordPress.com? Войдите в систему.
    • Արփինե Խաչատրյանի բլոգ
    • Подписаться Подписано
    • Регистрация
    • Войти
    • Сообщить об этом содержимом
    • Открыть сайт в приложении «Читалка»
    • Управление подписками
    • Свернуть эту панель
 

Загружаются Комментарии...
 

    Создайте подобный сайт на WordPress.com
    Начало работы