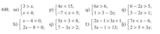
Մեկ անհայտով անհավասարումների համակարգ
Եթե պահանջվում է գտնել բոլոր այն x թվերը, որոնցից յուրաքանչյուրը միաժամանակ հանդիսանում է տված մի քանի մեկ անհայտով գծային անհավասարումների կամ ոչ խիստ անհավասարումների լուծում, ապա ասում են, որ պետք է լուծել մեկ x անհայտով գծային անհավասարումների համակարգ։
Գծային անհավասարումների համակարգը լուծելու համար, պետք է լուծել այդ համակարգի յուրաքանչյուր անհավասարումը և այնուհետև գտնել ստացված լուծումների բազմությունների ընդհանուր մասը (հատումը), դա էլ հենց կհանդիսանա տվյալ համակարգի բոլոր լուծումների բազմությունը։
Աշխատանք գրքից՝ 442, 443, 444
Lրացուցիչ: 448

ա) (1;+oo)
բ) (1;+00)
գ) (4;+oo)
դ) (-3;+oo)

ա) (-oo;2)
բ) (-oo;-1)
գ) (-oo;-5)
դ) (-oo;-16)

ա) չի լուծվում
բ) (-7;-5)
գ)
դ) (-5;0)








































