Рубрика: Կենսաբանություն 2020 - 2021

Լսողական վերլուծիչ

Ականջաբորբ

Պաթոգենեզ
Հիվանդությունն ընթանում է բավականին ծանր և ուղեկցվում է ականջի ուժեղ ցավով, բարձր ջերմությամբ, ինչպես նաև լսողության զգալի թուլացմամբ: Սուր բորբոքման դեպքում հնարավոր են նաև ուղեղապատյանների և գլխուղեղի բարդություններ։ Միջին ականջի սուր բորբոքման ժամանակ բժիշկի կողմից հաճախ նշանակվում են կոմպրեսներ, որոնք մեղմացնում են ցավը և նպաստում թմբկախոռոչի բորբոքային օջախի ներծծմանը։

Կանխարգելում
Կանխարգելման համար կարևոր պայմանը լավ հիգիենային խնամքի ապահովումն է, թարախից ազատելը, վարակազերծող հեղուկներով մշակելը: Հույժ կարևոր Է հիվանդի ականջի ճիշտ խնամքը։ Միջին ականջի սուր բորբոքումը կանխարգելող հիմնական միջոցառումներից են վերին շնչուղիների հիվանդությունների հաճախության նվազեցումը՝ օրգանիզմի կոփումը, ֆիզիկական կուլտուրայով և սպորտով զբաղվելը:

Բուժում
Միջին  ականջի քրոնիկական բորբոքման ժամանակ թմբկաթաղանթում մշտական ճեղք է մնում, քայքայվում են լսողական ոսկրիկները, լսողությունը թուլանում է, իսկ թարախահոսությունը կարող է պարբերաբար նորից կրկնվել: Միջին ականջի քրոնիկական բորբոքումը պետք Է կանոնավոր բուժել և անպայման քիթկոկորդականջաբանի հսկողությամբ։ 

Рубрика: Հանրահաշիվ

Դաս 19.

Հարցերի քննարկում:

Թեմա՝  Թվաբանական գործողություններ հանրահաշվական կոտորակների հետ:

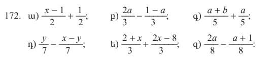
Առաջադրանքներ գրքից՝  171-175

ա) x+y / 3
բ) a-b / 7
գ) 2x-3y / 5
դ) 5m+3n / 4
ե) 4x / 4 = x
զ) 4a / 8

ա) x / 2
բ) 3a-1 / 3
գ) 2a+b / 5
դ) 2y-x/7
ե) -6+3x / 3
զ) a-1 / 8

ա) 3/a
բ) 3a/x
գ) -a/b
դ) 5x^2 / a
ե) 3x+4/a
զ) -2/x

ա) 8/a+b
բ) 1/x-1
գ) 6 / a+b
դ) 2m-2/m+n
ե) -x-9/x-3
զ) 8p-8/p+1

ա) 3x+1/1-x
բ) x-y
գ) 5a/a-b
դ) 5m-5/n-m
ե) 3p+4q/p-2q
զ) 10a-4b/1-a

Рубрика: Աշխարհագրություն

Գերմանիա

  1. Նշել Գերմանիայի աշխարհագրական դիրքի առավելություններն ու թերությունները:
    Գերմանիայի աշխարհագրական դիրքի առավելություն է այն, որ այն գտնվում է Եվրոպայի կենտրոնում: Դրա հետևանքով էլ այդտեղ են հատվում Եվրոպայի բոլոր կողմերից միմյանց կապող օդային, ցամաքային և ջրային կարևոր ուղիները:Թերությունները այն, որ երկրի աշխարհագրական դիրքի պատճառով այդտեղ բնական ռեսուրսները շատ քիչ է:
  2. Նշել Գերմանիայի տնտեսության զարգացման նախադրյալները:
  3. Ի՞նչ դեր ունի Գերմանիան ժամանակակից աշխարհում:
    Գերմանիայի տնտեսությունը աշխարհի առաջիներից է դրանով նա ունի լավ կապեր հարուստ երկրների։
  4. Ուրվագծային քարտեզի վրա նշել Գերմանիայի հարևան պետությունները, ափերը ողողող ջրային ավազանները:

Рубрика: Հայոց Լեզու 2020 - 2021

Հայոց Լեզու

1.Հետևյալ բառերից վերջածանցների օգնությամբ կազմիր նվազական-փաղաքշական նշանակությամբ գոյականներ:
Պատանի — պատանյակ, որբ — որբուկ, աթոռ — աթոռակ, մարդ — մարդուկ, որդի — որդիյակ, մուկ — մկնիկ, էշ — իշուկ, հորթ — հորթուկ, ծեր — ծերուկ, կղզի — կղզյակ, գիրք — գրքույկ, գունդ — գնդիկ, աղավնի — աղավնյակ, թիթեռ — թիթեռնիկ, հատոր — հատորյակ, ձուկ — ձկնիկ, աղջիկ — աղջնակ, առու — առվակ, դուռ — դռնակ, հոգի — հոգյակ, հյուղ — հյուղակ, արտույտ — արտուտիկ, ծով — ծովակ:
2. Բառաշարքում առանձնացրու այն հասարակ գոյականները, որոնք գործածվում են նաև իբրև հատուկ անուններ:Շարունակիր շարքը:
Նվագավար, կորյուն, կռունկ, զինվոր, ռազմիկ, ամպրոպ, ավետիս, մարտիկ, ձնծաղիկ, շանթ, երամակ, ծաղիկ, աղջամուղջ, նարգիզ, ակն, գալուստ, գոհար, զանգակ, վարդ, բուրաստան, գավառ, գրիչ, համբարձում, այգեստան, գավիթ, կապան, արշալույս, նվեր, հյուսն, քոթոթ, վարպետ:
Մեխակ, Վահան, Անդրանիկ, Հարություն, Շուշան, Աշտարակ:
3.Ածանցման միջոցով կազմիր որևէ տեղացի, երկրացի անվանող գոյականներ:
Մուշ — մշեցի, Իտալիա — իտալացի, Հայաստան — հայաստանցի, Արցախ — արցախցի, Իսպանիա — իսպանացի, Բելգիա — բելգիացի, Նյու Յորք — նյույորքցի, Էջմիածին — էջմիածինցի, Անի — անեցի, Մեղրի — մեղրեցի, Իրան — իրանցի, Բյուզանդիա — բյուզանդացի, Սյունիք — սյունեցի, Նոր Նախիջևան — նորնախիջևանցի, Տավուշ — տավուշցի,  Եգիպտոս — եգիպտացի, Գյումրի — գյումրեցի, Ջավախք — ջավախքցի:

Բառաշարքում առանձնացրու իրանիշ և անձնանիշ գոյականները:
Իրանիշ
Անձնանիշ
Երկիր, քահանա, եվրոպացի, հայելի, քարտաշ, անգղ, տնօրեն, այծյամ, հեքիաթագիր, ականջօղ, հաշվապահ, նժույգ, հարևան, վարդապետ, վարդանոց, առաջնորդ, իշխան, թռչուն, գահաժառանգ, գործողություն, գործընկեր,  դասընթաց, դասընկեր, դպիր, դպրոց, հոգեբան, անձնավորություն, ջրվեժնավ, նավավար, ուսանող: 

Որտեղ անհրաժեշտ է,  գրիր մեծատառով: 
Վանի թագավորություն, Արա Գեղեցիկ, Վիկտորիա ջրվեժ, Արաբական Միացյալ Էմիրություններ, Արագած, Արամ Խաչատրյան, Տրդատ երրորդ, Անուշ օպերա, Քաջ Նազար հեքիաթ, Ավետիք Իսահակյան, Ռուսաստանի Դաշնություն, Հրատ մոլորակ, Աշոտ Երկաթ, Արգիշտի արքա, Արագածոտնի մարզ, Սողոմոն Իմաստուն, Հայաստանի Հանրապետություն: 

Տրված գոյականները բաժանիր երկու խմբի, բացատրիր օրինաչափությունը:
Թանձրացական
Վերացական
Գիրքսերմեքենաուրախությունվիշտշենքհայրենասիրությունվախհամակարգիչմարդկարոտմանկությունծաղիկզգեստհնարավորություն

Рубрика: Քիմիա

Քիմիա

1*Կազմել հետևյալ աղերի բանաձևերը` 

Արծաթի կարբոնատ – Ag2CO3

երկաթի սուլֆիդ –Fe2S2, Fe2S3

Ալյումինի սուլֆատ – Al2SO4(3)

լիթիումի սիլիկատ – Li2SiO3

ցինկի քլորիդ — ZnCl2

2.Որոշե’ք քլոր տարրի օքսիդացման աստիճանները հետեւյալ միացություններում.
HCIO — H(+1) Cl(+1) O(-2)
KCIO4 — K(+1) Cl(+7) O4(-8)
HCIO3 — H(+1) Cl(+5) O3(-6)
CI2O7 — Cl2(+14) O7(-14)
HCIO2 — H(+1) Cl(+3) O2(-4)